La cantidad de nacidos vivos cayó un 36% entre 2014 y 2022. La cifra bajó de 777.012 a 495.295 nacimientos por año en 8 años. Esa tendencia demográfica ya está impactando en el sistema educativo, y se espera una caída de alrededor del 31% en la matrícula escolar en los próximos años.
Cayó 36% la natalidad: afirman que puede ser una "oportunidad demográfica" para mejorar la calidad educativa
La disminución de nacimientos impacta en la matrícula escolar, y se espera que en los próximos años ingrese un 31% menos de estudiantes al sistema educativo. Esta tendencia, que se aceleró en 2014, puede representar una oportunidad para fortalecer los aprendizajes si se aplican las políticas adecuadas.

Los datos surgen del informe “Natalidad y demanda educativa”, del Observatorio de Argentinos por la Educación, con autoría de Rafael Rofman (CIPPEC), Martín Nistal y Leyre Sáenz Guillén (Observatorio de Argentinos por la Educación). El documento aborda las implicancias del cambio demográfico en la organización del sistema educativo al recibir menos estudiantes por la baja en los nacimientos. Para eso, utiliza datos oficiales sobre matrícula escolar, población y natalidad a nivel nacional, y plantea alternativas de políticas públicas para aprovechar la disminución de nacimientos.
En las 24 jurisdicciones del país cayó la cantidad de nacimientos entre 2014 y 2022. Las mayores bajas fueron en Tierra del Fuego (-49%), Jujuy (-44%) y CABA (-44%). Por otro lado, las menores caídas se dieron en Chaco (-21%), Santa Fe (-28%) y Misiones (-29%). Los mayores descensos se observan en las mujeres adolescentes y jóvenes menores de 25 años: entre ellas, la caída es del 40% al 60%.
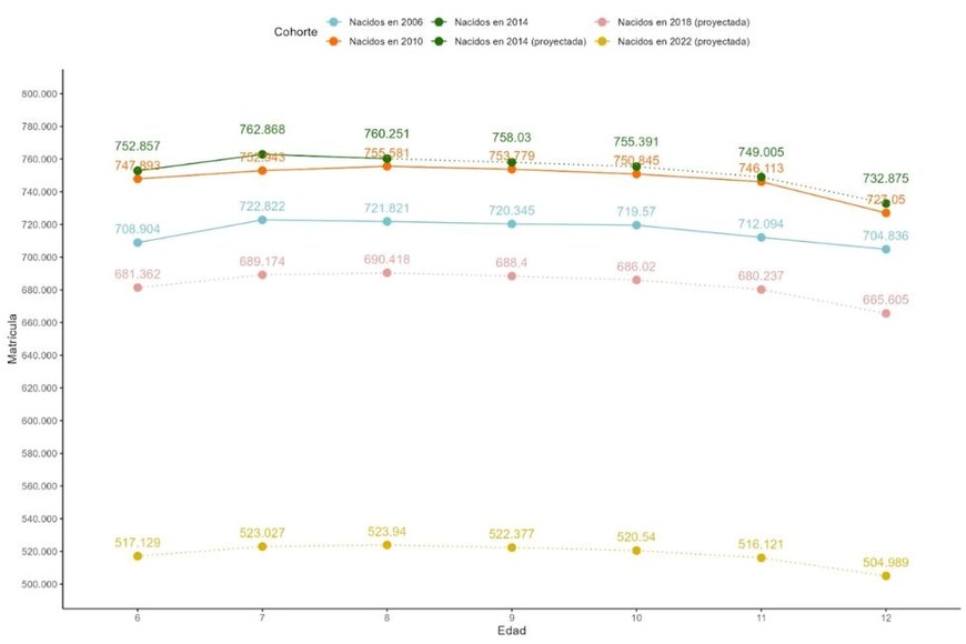
Esta tendencia demográfica repercute en la matriculación de estudiantes en el sistema educativo. Tomando como referencia la cantidad de nacidos entre 2006 y 2022, se estima que la matrícula de primaria caerá un 28% aproximadamente. Esta caída es aún más abrupta entre el 2014 y 2022, período en el que se estima una baja del 31,4% en la matrícula de estudiantes

"Entre 2014 y 2022 la fecundidad en Argentina descendió más rápidamente que en los 60 años anteriores. Este cambio trae desafíos importantes para la sociedad pero también oportunidades únicas. Las oportunidades son aún mayores en el sistema educativo, donde el menor número de niños liberará recursos (humanos y materiales) que pueden resultar en una rápida mejora de la calidad y resultados de nuestro sistema educativo”, afirma Rafael Rofman, coautor del documento e investigador principal de CIPPEC.
Entre las múltiples políticas posibles a aplicar, este informe considera tres escenarios para aprovechar la oportunidad y mejorar la calidad educativa. El primero es mantener la cantidad de secciones (aulas), y reducir la cantidad de alumnos por aula, para favorecer la personalización de la enseñanza. El segundo es mantener la cantidad de alumnos por aula y aumentar la cantidad de docentes que ejerzan un rol de tutores. El tercero es mantener la cantidad de alumnos por aula y capacitar en forma rotativa a los docentes mientras no están al frente de una clase.
La evidencia recopilada en el informe muestra que estas tres situaciones pueden repercutir en mejoras en los puntajes de los alumnos en las pruebas estandarizadas y también pueden impactar en mejores trayectorias académicas y laborales en el largo plazo. Los autores subrayan que la caída en los nacimientos sólo representará una oportunidad para mejorar la calidad educativa si se implementan las políticas adecuadas.
"La notable reducción en la tasa de natalidad y su impacto en la matrícula escolar plantea un escenario inédito para el sistema educativo argentino. Con menos estudiantes ingresando al sistema, es esencial reimaginar cómo se distribuyen los recursos y se implementan políticas educativas innovadoras. Este reporte ofrece ideas concretas con alto potencial para mejorar la calidad educativa y cerrar las desigualdades existentes, entre las que destaco especialmente las que se enfocan en el fortalecimiento del rol del docente”, sostiene Dolores de la Mata, economista principal del CAF - Banco de Desarrollo de América Latina.

“La caída en la natalidad en Argentina abre oportunidades para mejorar la educación en el país. En este informe, los autores cuantifican el fenómeno y su impacto en la matrícula escolar, y analizan opciones de política para aprovechar esta coyuntura. En mi opinión, el informe es un primer paso necesario y valioso para informar el diseño de políticas que permitan potenciar las oportunidades que ofrece el bono demográfico para la mejora de la educación en Argentina”, señala Mariana Marchionni, investigadora senior del Centro de Estudios Distributivos Laborales y Sociales (CEDLAS).
“El informe plantea y pone en la centralidad de su consideración un tema interesante e importante como es la cantidad probable de alumnos que ingresarán (y posteriormente demandarán) un lugar en el sistema educativo de nivel primario, atendiendo a la caída de la natalidad observada en el período considerado y las alternativas que pueden implementarse para mejorar el aprendizaje de los alumnos haciendo uso de las ventajas que otorga el bono demográfico”, describe Martín Moreno, investigador del Centro de Estudios de Población (CENEP).
Florencia Sichel, profesora de Filosofía, autora y divulgadora, reflexiona: “¿Cuáles son los efectos ante la caída de los nacimientos? ¿Cómo estamos dispuestos a acompañar a las personas que sí desean traer hijos e hijas al mundo? ¿En qué medida la caída de la natalidad implicará un cambio profundo en la organización de la educación en las escuelas? En este informe encontramos respuestas a muchos de estos interrogantes que parecen del futuro, pero están sucediendo ahora”.
Para seguir leyendo, podés encontrar todos los informes del Observatorio Argentinos por la Educación en el siguiente enlace.




Este artículo fue originalmente publicado en RED/ACCIÓN y se republica bajo el programa Periodismo Humano.








Dejanos tu comentario
Los comentarios realizados son de exclusiva responsabilidad de sus autores y las consecuencias derivadas de ellos pueden ser pasibles de las sanciones legales que correspondan. Evitar comentarios ofensivos o que no respondan al tema abordado en la información.